SVforum Posted April 2, 2023 at 02:54 μμ Κοινοποίηση Posted April 2, 2023 at 02:54 μμ ΤΕΛΕΥΤΑΙΑ ΕΝΗΜΕΡΩΣΗ ΗΜΕΡΟΜΗΝΙΩΝ : 26-05-2023 Μια προσπάθεια να συγκεντρώσουμε τις προκηρύξεις εξετάσεων ραδιοερασιτεχνών ανά περιφέρεια για την Α' περίοδο του 2023 ώστε να βοηθήσουμε στις αναζητήσεις τους μελλοντικούς μας συναδέρφους SY και SV. Ο καιρός έφτασε και τις επόμενες ημέρες όλες οι περιφέρειες θα κοινοποιήσουν σιγά σιγά τις ημερομηνίες των εξετάσεων. Καλή επιτυχία! Π.Ε. Άρτας - Άρτα 26/05/2023 Π.Ε. Φθιώτιδας - Λαμία 09/05/2023 Π.Ε. Έβρου - Έβρος 27/04/2023 Π.Ε. Έβρου - Ορεστιάδα 27/04/2023 Π.Ε. Δράμας - Δράμα 25/04/2023 Π.Ε. Θράκης - Ξάνθη 27/04/2023 Π.Ε. Νοτίου Αιγαίου - Ρόδος 03/04/2023 Π.Ε. Στερεάς Ελλάδας - Λαμία 09/05/2023 Π.Ε. Ημαθίας – Βέροια 19/04/2023 Π.Ε. Χανίων – Χανιά 26/05/2023 Π.Ε. Θράκης – Καβάλα 10/05/2023 Π.Ε. Δυτικής Μακεδονίας – Καστοριά 19/06/2023 Π.Ε. Ηπείρου – Ιωάννινα 30/05/2023 Π.Ε. Ιονίων Νήσων – Κεφαλλονιά και Ιθάκη 06/06/2023 Π.Ε. Δυτικής Αττικής 13/06/2023 Π.Ε. Ανατολικής Αττικής 13/06/2023 Π.Ε. Κεντρικής Μακεδονίας – Δυτική Θεσσαλονίκη 14/06/2023 Π.Ε. Κεντρικής Μακεδονίας – Ανατ. Θεσσαλονίκη 14/06/2023 Π.Ε. Κρήτης - Ηρακλείου 01/06/2023 Π.Ε. Τρικάλων – Τρίκαλα 14/06/2023 Π.Ε. Κοζάνης – Κοζάνη 26/06/2023 Π.Ε. Δυτικής Ελλάδας- Αιτωλοακαρνανίας 13/06/2023 Π.Ε. Δυτικής Ελλάδας- Aχαϊας 16/06/2023 Π.Ε. Αττικής Βόρειος τομέας 21/06/2023 Π.Ε. Αττικής Νότιος τομέας 21/06/2023 Π.Ε. Θεσσαλίας - Καρδίτσα 28/06/2023 Π.Ε. Κρήτης - Ρέθυμνο 01/06/2023 Π.Ε. Μαγνησίας - Βόλος 07/06/2023 Π.Ε. Κρήτης – Λασίθι 16/06/2023 Π.Ε. Κεντρικής Μακεδονίας – Σέρρες 22/06/2023 Π.Ε. Αττικής – Δυτικός Τομέας 14/06/2023 Π.Ε. Ιονίων Νήσων – Κέρκυρα 15/06/2023 Π.Ε. Κεντρικής Μακεδονίας – Κατερίνη 20/06/2023 Π.Ε. Πειραιώς - Πειραιάς 13/06/2023 Link to comment Share on other sites Περισσότερες επιλογές κοινοποίησης...
SVforum Posted April 2, 2023 at 02:57 μμ Author Κοινοποίηση Posted April 2, 2023 at 02:57 μμ Π.Ε. Άρτας - Άρτα Link to comment Share on other sites Περισσότερες επιλογές κοινοποίησης...
SVforum Posted April 2, 2023 at 03:02 μμ Author Κοινοποίηση Posted April 2, 2023 at 03:02 μμ Π.Ε. Φθώτιδας - Λαμία Link to comment Share on other sites Περισσότερες επιλογές κοινοποίησης...
SV3SPC Posted April 3, 2023 at 07:49 πμ Κοινοποίηση Posted April 3, 2023 at 07:49 πμ Π.Ε. Έβρου - Έβρος Link to comment Share on other sites Περισσότερες επιλογές κοινοποίησης...
SVforum Posted April 3, 2023 at 08:46 πμ Author Κοινοποίηση Posted April 3, 2023 at 08:46 πμ Π.Ε. Έβρου - Ορεστιάδα Link to comment Share on other sites Περισσότερες επιλογές κοινοποίησης...
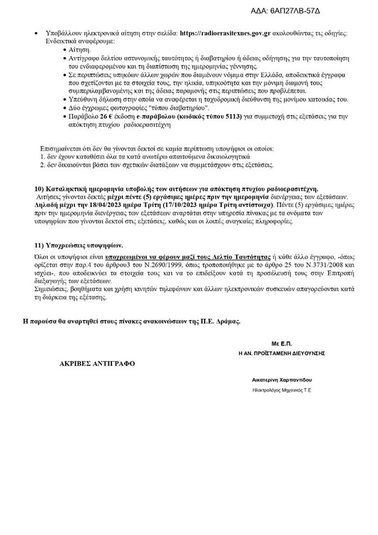
SVforum Posted April 3, 2023 at 08:47 πμ Author Κοινοποίηση Posted April 3, 2023 at 08:47 πμ Π.Ε. Δράμας - Δράμα Link to comment Share on other sites Περισσότερες επιλογές κοινοποίησης...
SVforum Posted April 3, 2023 at 08:48 πμ Author Κοινοποίηση Posted April 3, 2023 at 08:48 πμ Π.Ε. Θράκης - Ξάνθη Link to comment Share on other sites Περισσότερες επιλογές κοινοποίησης...
SVforum Posted April 3, 2023 at 08:49 πμ Author Κοινοποίηση Posted April 3, 2023 at 08:49 πμ Π.Ε. Νοτίου Αιγαίου - Ρόδος Link to comment Share on other sites Περισσότερες επιλογές κοινοποίησης...
SVforum Posted April 3, 2023 at 08:52 πμ Author Κοινοποίηση Posted April 3, 2023 at 08:52 πμ Π.Ε. Στερεάς Ελλάδας - Λαμία Link to comment Share on other sites Περισσότερες επιλογές κοινοποίησης...
SV3SPC Posted April 3, 2023 at 10:27 μμ Κοινοποίηση Posted April 3, 2023 at 10:27 μμ Π.Ε. Ημαθίας - Βέροια Link to comment Share on other sites Περισσότερες επιλογές κοινοποίησης...
SVforum Posted April 4, 2023 at 09:19 μμ Author Κοινοποίηση Posted April 4, 2023 at 09:19 μμ Π.Ε. Χανίων - Χανιά Link to comment Share on other sites Περισσότερες επιλογές κοινοποίησης...
SVforum Posted April 6, 2023 at 10:12 μμ Author Κοινοποίηση Posted April 6, 2023 at 10:12 μμ Π.Ε. Θράκης- Καβάλα Link to comment Share on other sites Περισσότερες επιλογές κοινοποίησης...
SVforum Posted April 20, 2023 at 07:14 μμ Author Κοινοποίηση Posted April 20, 2023 at 07:14 μμ Π.Ε. Δυτικής Μακεδονίας - Καστοριά Link to comment Share on other sites Περισσότερες επιλογές κοινοποίησης...
SVforum Posted May 5, 2023 at 10:23 πμ Author Κοινοποίηση Posted May 5, 2023 at 10:23 πμ Π.Ε. Ηπείρου - Ιωάννινα Link to comment Share on other sites Περισσότερες επιλογές κοινοποίησης...
SVforum Posted May 5, 2023 at 10:25 πμ Author Κοινοποίηση Posted May 5, 2023 at 10:25 πμ Π.Ε. Ιονίων Νήσων- Κεφαλλονιά & Ιθάκη Link to comment Share on other sites Περισσότερες επιλογές κοινοποίησης...
SVforum Posted May 6, 2023 at 08:12 πμ Author Κοινοποίηση Posted May 6, 2023 at 08:12 πμ Π.Ε. Δυτικής Αττικής Link to comment Share on other sites Περισσότερες επιλογές κοινοποίησης...
SVforum Posted May 8, 2023 at 12:51 μμ Author Κοινοποίηση Posted May 8, 2023 at 12:51 μμ Π.Ε. Kρήτης - Ηράκλειο Link to comment Share on other sites Περισσότερες επιλογές κοινοποίησης...
SVforum Posted May 8, 2023 at 12:53 μμ Author Κοινοποίηση Posted May 8, 2023 at 12:53 μμ Π.Ε. Κεντρικής Μακεδονίας - Ανατολική Θεσσαλονίκη Link to comment Share on other sites Περισσότερες επιλογές κοινοποίησης...
SVforum Posted May 8, 2023 at 12:54 μμ Author Κοινοποίηση Posted May 8, 2023 at 12:54 μμ Π.Ε. Κεντρικής Μακεδονίας - Δυτική Θεσσαλονίκη Link to comment Share on other sites Περισσότερες επιλογές κοινοποίησης...
SVforum Posted May 8, 2023 at 12:56 μμ Author Κοινοποίηση Posted May 8, 2023 at 12:56 μμ Π.Ε. Ανατολικής Αττικής Link to comment Share on other sites Περισσότερες επιλογές κοινοποίησης...
SVforum Posted May 9, 2023 at 03:31 μμ Author Κοινοποίηση Posted May 9, 2023 at 03:31 μμ Π.Ε. Τρικάλων - Τρίκαλα Link to comment Share on other sites Περισσότερες επιλογές κοινοποίησης...
SVforum Posted May 9, 2023 at 03:35 μμ Author Κοινοποίηση Posted May 9, 2023 at 03:35 μμ Π.Ε. Κοζάνης- Κοζάνη Link to comment Share on other sites Περισσότερες επιλογές κοινοποίησης...
SVforum Posted May 10, 2023 at 09:49 μμ Author Κοινοποίηση Posted May 10, 2023 at 09:49 μμ Π.Ε. Δυτικής Ελλάδας- Αιτωλοακαρνανίας Link to comment Share on other sites Περισσότερες επιλογές κοινοποίησης...
SVforum Posted May 14, 2023 at 12:14 πμ Author Κοινοποίηση Posted May 14, 2023 at 12:14 πμ Π.Ε. Δυτικής Ελλάδας- Πάτρα Link to comment Share on other sites Περισσότερες επιλογές κοινοποίησης...
SVforum Posted May 15, 2023 at 03:55 μμ Author Κοινοποίηση Posted May 15, 2023 at 03:55 μμ Π.Ε. Αττικής- Βόρειος Τομέας Link to comment Share on other sites Περισσότερες επιλογές κοινοποίησης...
Recommended Posts